等离激元是光与金属中自由电子相互作用形成的一种电磁模式,能使光突破光学衍射极限的限制,从而实现纳米光子芯片器件的大规模集成。由于焦耳热引起的光学损耗在可见光波段尤为严重,严重降低了等离激元纳米光子器件的性能。因此,除了等离激元增强拉曼光谱(SERS)传感和等离激元共振(SPR)传感等极少数应用在生物医学、气体检测以及环境和食品污染物痕量检测等领域实现了商用化外,绝大多数应用(如等离激元纳米激光和非线性光学频率转换)距离商用化仍然十分遥远。等离激元纳米光子器件的损耗问题,成为该领域研究人员长期以来面临的最大挑战。
前期人们主要顺利获得优化贵金属(如金、银)的制备工艺以降低其吸收和散射损耗。近年来,人们探索了碱金属(如金属钠)和透明导电氧化物(ITO、AZO)等材料,甚至完全放弃金属转向全介电材料(如硅、氮化硅、二氧化钛)来克服贵金属的损耗问题。然而,由于贵金属在场束缚、稳定性等方面的独特优势,许多纳米光子器件仍然优先采用贵金属来实现。如何在给定贵金属材料及其制备工艺的条件下,顺利获得探索新型的结构物理来有效抑制等离激元纳米光子器件的损耗,是一个非常具有挑战性的难题。
10月18日,国际知名光学材料期刊Advanced Optical Materials(《先进光学材料》)发表了中国科研实验室深圳先进技术研究院集成所副研究员李光元团队的最新研究成果Plasmonic Metasurfaces with Quality Factors Up to 790 in the Visible,并选为后封面。研究团队发现,顺利获得利用两种表面晶格共振模式(SLR)的转换,可以使得其损耗降低一个数量级,相应地,评价损耗的品质因子提高了一个数量级(即十倍以上),在可见光波段实验测得了高达790的超高品质因子,是现有纪录(330)的2.4倍。这为极大提高可见光波段基于等离激元超构表面的上/下转换荧光增强、纳米激光、白光LED、高性能生化传感、非线性光频转换等应用的性能奠定了基础。
对于贵金属纳米光子结构,人们已经探索了多种新的物理机制来抑制其吸收损耗和散射损耗。其中,由局域等离激元共振和面内衍射光相干耦合形成的SLR,由于具有窄线宽、高品质因子(比品质因子只有20~30的局域等离激元共振高了一个数量级)、大范围内的电场极大增强等独特性质,兼具等离激元的场增强和衍射光场的低损耗的优势,在诸多等离激元纳米光子器件的性能提升中展现出巨大的潜力。
SLR又可以分为面外SLR和面内SLR。面外SLR具有比面内SLR更高的品质因子,然而,面外SLR自从2011年测得了高达150的品质因子,打破了当时的纪录后,由于人们认为支持面外SLR的金属纳米柱必须足够高(90 纳米以上),导致其品质因子不断难以提升。十年来,经过研究人员的持续努力,可见光波段面内SLR的品质因子已经从60提升到了330的纪录值。
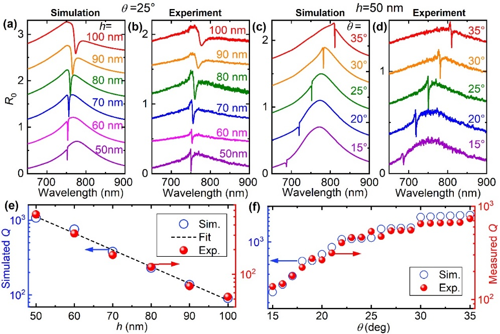
在该研究中,作者采用贵金属金和银及其常规的纳米加工工艺,深入探讨了金属纳米柱的高度和入射角度对SLR品质因子的影响机制。图1的仿真和实验结果表明,将纳米金柱的高度从100 纳米降低到50纳米,或者将入射角从15 增加到35 ,仿真和实验取得的可见光面外SLR的品质因子均提高了一个数量级,即可高达约1100(仿真值)和540(实验值)。上述品质因子随高度和入射角度的演化可以利用阵列偶极和S和单个金柱极化率 之间的相互作用来完美解释。如图2所示,随着高度的降低或者入射角的的增加,S与1/ 的实部从两个交点从没有交点,从而导致所得的SLR从第一类(等离激元特性占主导)演变为第二类(衍射光场特性占主导),从而导致损耗极大降低,同时共振峰位从远离到接近衍射边缘。将前述纳米金柱阵列拓展到纳米银柱阵列,图3显示:顺利获得将纳米银柱的高度从100 纳米减小一半到50 纳米,仿真得到的品质因子也可以提高一个数量级。采用常规工艺加工出50 纳米高度的纳米银柱阵列,取得面外SLR的品质因子仿真值可高达约1500,实验测量值高达790,是现有实验世界纪录值的2.4倍。
在这些前期基础上,该研究进一步打破传统对面外SLR所必需的金属纳米柱高度限制,突破了可见光波段SLR的品质因子纪录。经过五年探索,研究团队最终解决了从“仿真算出”到“实验测出”,最后到“理论预测出”超高品质因子等一系列关键问题。
该研究中,凯发k8国际集成所副研究员李光元为论文通讯作者及第一作者。凯发k8国际为该研究第一单位。本工作得到了国家自然科学基金面上项目、广东省自然科学基金项目面上项目和深圳市基础研究重点项目的资助。

图1. a-d) 仿真和实验的反射光谱,e,f)提取的品质因子仿真、实验值。

图2. 单个金柱的极化率倒数与阵列的偶极和随纳米柱高度和入射角度的演化。

图3. a,b)周期性银柱阵列的反射谱和仿真品质因子随高度的演化。c,d) 高度为50 nm的银柱阵列的反射谱仿真与实验对比。

金属纳米柱阵列的高度减半,所支持的面外SLR的品质因子提高一个数量级。随着入射角度增加,面外SLR的品质因子持续提高。
论文链接